混流泵的主要參數之功率:
混流泵的功率分為有效功率N效、軸功率W及配用功率三種。
有效功率就是液體功率、指水流在泵內所得到的凈功率。

式中
r——水的重度(公斤/升);
Q—-流量(升/秒);
H——揚程(米)。
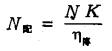
軸率N是指動力機傳給泵軸的功率。在試驗室可通過測功裝置測出來。因為N與N效間相差一泵的損失,如已知泵的效率為η,則

配用功率N配是指泵選配動力機的功率數,它就是動力機機的額定輸出功率。

式中
K——功率裕度系數;
η停——傳動裝置效率。
注意,這里的軸功率應選最大軸功率,可由功率曲線選取。有時選擇使用范圍的軸功率進行計算,在使用時要避免出現大功率點使動力機超載。因混流泵的功率曲線比較平坦,選用較小的功率裕度也不容易出現超載現象。
本文源自http://m.025xp.com/news/jishuzhishi/377.html,轉載請注明出處。
(責任編輯:潛水渣漿泵http://m.025xp.com)
聯系人:王經理
電話/傳 真:0312-3426585
廠 址:河北省保定市安國市石佛鎮石佛村紅星區41號
網 址:http://m.025xp.com
郵 箱:415380809@qq.com
版權所有:河北聚信泵業有限公司|潛水渣漿泵
備案號:冀ICP備17024991號-1